当我们想把RGBD相机的深度图转成单线激光雷达来使时,经常考虑到使用depthimage_to_laserscan的ros包。
其中有关于通过深度图和相机内参转成基于极坐标系下的单线激光雷达最大和最小角度这两个参数,用到的代码如下:
double DepthImageToLaserScan::magnitude_of_ray(const cv::Point3d& ray) const{
return sqrt(pow(ray.x, 2.0) + pow(ray.y, 2.0) + pow(ray.z, 2.0));
}
double DepthImageToLaserScan::angle_between_rays(const cv::Point3d& ray1, const cv::Point3d& ray2) const{
//因为
const double dot_product = ray1.x*ray2.x + ray1.y*ray2.y + ray1.z*ray2.z;
const double magnitude1 = magnitude_of_ray(ray1);
const double magnitude2 = magnitude_of_ray(ray2);;
return acos(dot_product / (magnitude1 * magnitude2));
}
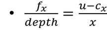
其中用到的公式主要是基于两个向量来算的,默认相机中心为原点(0,0,0),如下图:

因此左边点跟原点是向量a,右边点和原点构成向量b,则根据公式就可算出来角度。
变换一下就可以得到角度:

极角是通过公式:

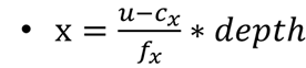
极长计算分两步:
1. 先算x

变换就可以得到

2.再算极长

double r = depth; // Assign to pass through NaNs and Infs
const double th = -atan2((double)(u - center_x) * constant_x, unit_scaling); // Atan2(x, z), but depth divides out
const int index = (th - scan_msg->angle_min) / scan_msg->angle_increment;
if (depthimage_to_laserscan::DepthTraits<T>::valid(depth)){ // Not NaN or Inf
// Calculate in XYZ
double x = (u - center_x) * depth * constant_x;
double z = depthimage_to_laserscan::DepthTraits<T>::toMeters(depth);
// Calculate actual distance
r = hypot(x, z);
}
带状的意思主要是scan_height,如果scan_height为1时,该代码只找到深度图中间的cy的那根线,如果大于1就变成带状的结构。
带状的数据按照数据有效和最近原则筛选:
bool DepthImageToLaserScan::use_point(const float new_value, const float old_value, const float range_min, const float range_max) const{
// Check for NaNs and Infs, a real number within our limits is more desirable than these.
const bool new_finite = std::isfinite(new_value);
const bool old_finite = std::isfinite(old_value);
// Infs are preferable over NaNs (more information)
if(!new_finite && !old_finite){ // Both are not NaN or Inf.
if(!std::isnan(new_value)){ // new is not NaN, so use it's +-Inf value.
return true;
}
return false; // Do not replace old_value
}
// If not in range, don't bother
const bool range_check = range_min <= new_value && new_value <= range_max;
if(!range_check){
return false;
}
if(!old_finite){ // New value is in range and finite, use it.
return true;
}
// Finally, if they are both numerical and new_value is closer than old_value, use new_value.
const bool shorter_check = new_value < old_value;
return shorter_check;
}
从给定URL下载文件并立即将其上传到AmazonS3的更直接的方法是什么(+将有关文件的一些信息保存到数据库中,例如名称、大小等)?现在,我既不使用Paperclip,也不使用Carrierwave。谢谢 最佳答案 简单明了:require'open-uri'require's3'amazon=S3::Service.new(access_key_id:'KEY',secret_access_key:'KEY')bucket=amazon.buckets.find('image_storage')url='http://www.ex
我正在使用Sequel构建一个愿望list系统。我有一个wishlists和itemstable和一个items_wishlists连接表(该名称是续集选择的名称)。items_wishlists表还有一个用于facebookid的额外列(因此我可以存储opengraph操作),这是一个NOTNULL列。我还有Wishlist和Item具有续集many_to_many关联的模型已建立。Wishlist类也有:selectmany_to_many关联的选项设置为select:[:items.*,:items_wishlists__facebook_action_id].有没有一种方法可以
我知道您通常应该在Rails中使用新建/创建和编辑/更新之间的链接,但我有一个情况需要其他东西。无论如何我可以实现同样的连接吗?我有一个模型表单,我希望它发布数据(类似于新View如何发布到创建操作)。这是我的表格prohibitedthisjobfrombeingsaved: 最佳答案 使用:url选项。=form_for@job,:url=>company_path,:html=>{:method=>:post/:put} 关于ruby-on-rails-rails:Howtomak
我试图在索引页中创建一个超链接,但它没有显示,也没有给出任何错误。这是我的index.html.erb代码。ListingarticlesTitleTextssss我检查了我的路线,我认为它们也没有问题。PrefixVerbURIPatternController#Actionwelcome_indexGET/welcome/index(.:format)welcome#indexarticlesGET/articles(.:format)articles#indexPOST/articles(.:format)articles#createnew_articleGET/article
我在pry中定义了一个函数:to_s,但我无法调用它。这个方法去哪里了,怎么调用?pry(main)>defto_spry(main)*'hello'pry(main)*endpry(main)>to_s=>"main"我的ruby版本是2.1.2看了一些答案和搜索后,我认为我得到了正确的答案:这个方法用在什么地方?在irb或pry中定义方法时,会转到Object.instance_methods[1]pry(main)>defto_s[1]pry(main)*'hello'[1]pry(main)*end=>:to_s[2]pry(main)>defhello[2]pry(main)
我克隆了一个rails仓库,我现在正尝试捆绑安装背景:OSXElCapitanruby2.2.3p173(2015-08-18修订版51636)[x86_64-darwin15]rails-v在您的Gemfile中列出的或native可用的任何gem源中找不到gem'pg(>=0)ruby'。运行bundleinstall以安装缺少的gem。bundleinstallFetchinggemmetadatafromhttps://rubygems.org/............Fetchingversionmetadatafromhttps://rubygems.org/...Fe
我需要一个表,其中行实际上是2行表,一个嵌套表是..我怎样才能在Prawn中做到这一点?也许我需要延期..但哪一个? 最佳答案 现在支持子表:Prawn::Document.generate("subtable.pdf")do|pdf|subtable=pdf.make_table([["sub"],["table"]])pdf.table([[subtable,"original"]])end 关于ruby-on-rails-PrawnPDF:Ineedtogeneratenested
我没有找到太多关于如何执行此操作的信息,尽管有很多关于如何使用像这样的redirect_to将参数传递给重定向的建议:action=>'something',:controller=>'something'在我的应用程序中,我在路由文件中有以下内容match'profile'=>'User#show'我的表演Action是这样的defshow@user=User.find(params[:user])@title=@user.first_nameend重定向发生在同一个用户Controller中,就像这样defregister@title="Registration"@user=Use
给定以下方法:defsome_method:valueend以下语句按我的预期工作:some_method||:other#=>:valuex=some_method||:other#=>:value但是下面语句的行为让我感到困惑:some_method=some_method||:other#=>:other它按预期创建了一个名为some_method的局部变量,随后对some_method的调用返回该局部变量的值。但为什么它分配:other而不是:value呢?我知道这可能不是一件明智的事情,并且可以看出它可能有多么模棱两可,但我认为应该在考虑作业之前评估作业的右侧...我已经在R
我在新的Debian6VirtualBoxVM上安装RVM时遇到问题。我已经安装了所有需要的包并使用下载了安装脚本(curl-shttps://rvm.beginrescueend.com/install/rvm)>rvm,但以单个用户身份运行时bashrvm我收到以下错误消息:ERROR:Unabletocheckoutbranch.安装在这里停止,并且(据我所知)没有安装RVM的任何文件。如果我以root身份运行脚本(对于多用户安装),我会收到另一条消息:Successfullycheckedoutbranch''安装程序继续并指示成功,但未添加.rvm目录,甚至在修改我的.bas